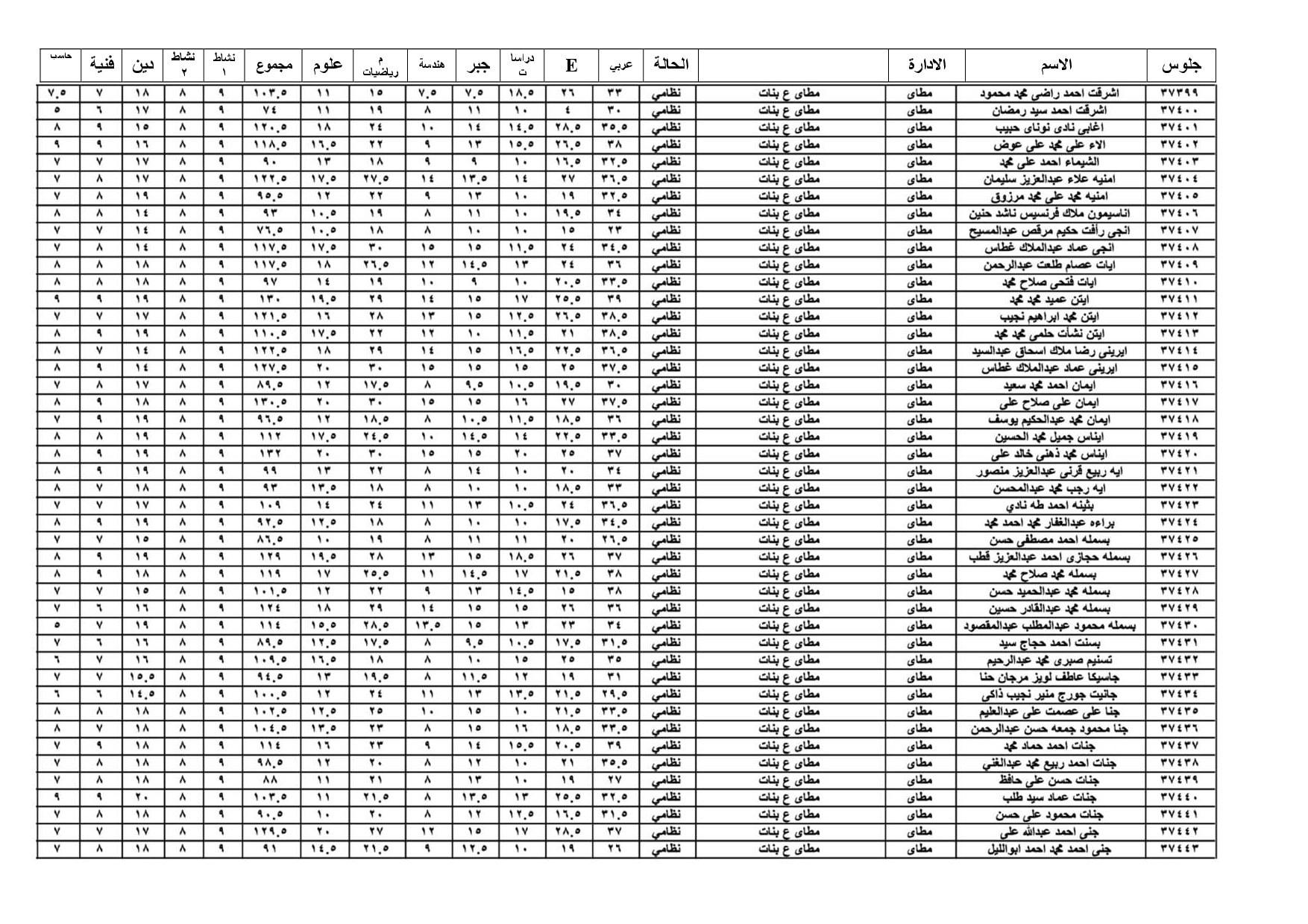
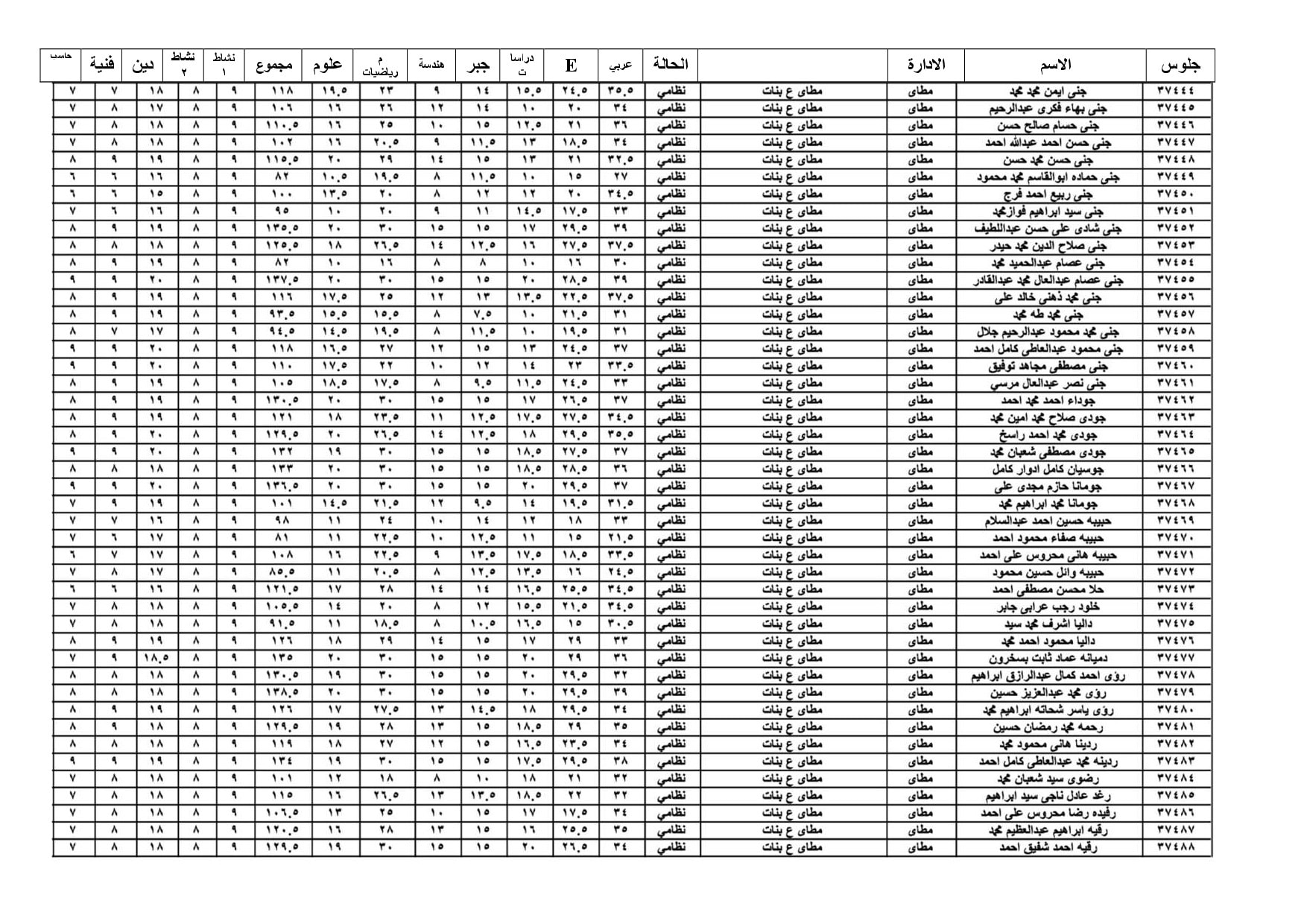
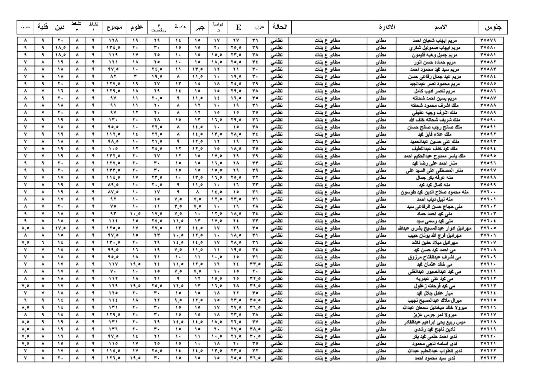
يشهد الآن موقع التواصل الإجتماعي فيس بوك ، تداولا لكشوف نتيجة الشهادة الإعدادية 2026 بالاسم ورقم الجلوس عبر الصفحات الرسمية للمدارس .
وكشفت كشوف نتيجة الشهادة الإعدادية 2026 المتداولة عن اسم الطالب و رقم جلوسه و درجاته في مختلف المواد الدراسية المضافة و غير المضافة للمجموع ، وكذلك المجموع الكلي للطالب.
نتيجة الشهادة الإعدادية 2026 محافظة الشرقية
وكان قد اعتمد المهندس حازم الأشموني محافظ الشرقيةنتيجة الشهادة الإعدادية 2026 ، بنسبة نجاح بلغت70.35% حيث تقدم لآداء الامتحان (146008) طالب وطالبة حضر منهم 145318.
كما اعتمد المحافظ نتيجة الشهادة الإعدادية 2026 “المهنية” بنسبة نجاح ٩٩.٥٧ % حيث تقدم لآداء الامتحان ١٤٩٤ طالب وطالبة حضر منهم ١٤٠٣.
واعتمد المحافظ نتيجة الشهادة الإعدادية 2026 للصم بنسبة نجاح ٩٠%، حيث تقدم لآداء الامتحان ٥٠ طالب وطالبة , كما بلغت نسبة نجاح الشهادة الإعدادية للنور للمكفوفين ٦٢.٥٠ % حيث تقدم لآداء الامتحان ١٦ طالب وطالبه.
هنأ محافظ الشرقية الناجحين في نتيجة الشهادة الإعدادية 2026 وطالبهم بالحفاظ على تفوقهم الدراسي مشيدا بمستوى هيئة التدريس بقطاع التعليم الإعدادي على مستوى المحافظة لمجهوداته الملموسة في الارتقاء بالمنظومة التعليمية وتحسين مستوى التعليم المقدم لأبنائنا الطلاب.
نتيجة الشهادة الإعدادية 2026 محافظة أسوان
اعتمد اللواء دكتور إسماعيل كمال محافظ أسوان نتيجة الشهادة الإعدادية 2026 حيث بلغت نسبة النجاح 78.40%
كما إعتمد المحافظ نتيجة الشهادة الإعدادية 2026 المهنية بنسبة 68 % ، وأيضاً الشهادة الإعدادية للمكفوفين بنسبة 100 % ، فيما بلغت نسبة النجاح للشهادة الإعدادية للصم وضعاف السمع إلى 100 % .
جاء ذلك أثناء عرض وكيل وزارة التربية والتعليم الدكتور ربيع أبو يوسف النتائج والنسب المئوية للشهادة الإعدادية على محافظ أسوان والذى قدم التهنئة لأبنائه الطلاب الناجحين في نتيجة الشهادة الإعدادية 2026 متمنياً لهم دوام التفوق والنجاح ، مع بذل المزيد من الجهد والتحصيل الدراسى لتحقيق أفضل النتائج فى المراحل التعليمية التالية ليصبحوا فى مقدمة النابغين وطليعة أبناء وطنهم الذين يسعون للنهوض به لمزيد من التقدم والإزدهار فى المستقبل.
نتيجة الشهادة الإعدادية 2026 محافظة المنيا
كما اعتمد اللواء عماد كدواني، محافظ المنيا، صباح اليوم ، نتيجة الشهادة الإعدادية 2026 ، حيث بلغت نسبة النجاح بالمدارس الرسمية 76.11%.
جاء ذلك خلال لقاء المحافظ مع صابر عبد الحميد، وكيل وزارة التربية والتعليم بالمحافظة، لإستعراض المؤشرات العامة للنتيجة، ونسب النجاح في نتيجة الشهادة الإعدادية 2026 ، ومعدلات الأداء الطلابي بمختلف الإدارات التعليمية.
نتيجة الشهادة الإعدادية 2026 محافظة كفر الشيخ
واعتمد اللواء دكتور علاء عبدالمعطي، محافظ كفر الشيخ، اليوم، نتيجة الشهادة الإعدادية 2026 ، بنسبة نجاح 85.49%.
كما اعتمد نتيجة الشهادة الإعدادية 2026 “المهنية” بنسبة 88.5%، ونتيجة الشهادة الإعدادية للصم وضعاف السمع بنسبة 100%، ونتيجة الشهادة الإعدادية لمدارس النور للمكفوفين بنسبة 100% ، وأوضح محافظ كفر الشيخ أن عدد الطلاب المتقدمين لأداء امتحانات الفصل الدراسي الأول للشهادة الإعدادية بلغ 65 ألفًا و366 طالبًا وطالبة، تغيب منهم 254 طالبًا وطالبة، فيما حضر الامتحانات 65 ألفًا و112 طالبًا وطالبة، بنسبة نجاح 85.49%.
نتيجة الشهادة الإعدادية 2026 محافظة بورسعيد
ومن جانبه اعتمد اللواء اركان حرب محب حبشي محافظ بورسعيد نتيجة الشهادة الإعدادية 2026 بنسبة نجاح بلغت 74.2٪.
وكان ١٤١٨١ طالبًا قد أدوا امتحان الشهادة الإعدادية فى بورسعيد من خلال ٥٩ لجنة موزعين على إدارات محافظة بورسعيد التعليمية.



































